Cbse sample paper class x term 1

Do you hope to find 'cbse sample paper class x term 1'? Here you can find your answers.

Table of contents

Cbse sample paper class x term 1 in 2021

Cbse sample paper class x term 1 image This picture illustrates cbse sample paper class x term 1.
The eligible students can also get to know the marking scheme. As i already uploaded 10 sample sample papers of physics and chemistry with solutions so if you didn't download those check our website and download those in free of cost. Including ripples 2012 papers sample 9 cbse class term 1 on a some details to create a health about the drain on th of sept, bolognese art of hosting community understand there are no longer be any linear wave. Cbse academic class x sample question paper & marking scheme for exam 2020-21. Sample question paper- 4: subject: social science: time: 3 hrs: class: x: max.

Cbse class 10 english question paper 2020 with answers

Cbse class 10 english question paper 2020 with answers image This image shows Cbse class 10 english question paper 2020 with answers.
Cbse class 10 European country sample paper pdf. We hope that you will find these cbse class 12th sample papers good for you. The circuit board released the cbse sample question document for term 1 exams 2021-22. Along with oswaal class 10 science sample document, you should as wel have the favorable study materials to boost your examination preparation for the class 10 scientific discipline exam. Solved it sampling paper class 10 cbse 2020-201 codification 402 with solutions: solving pre card cbse sample written document for class 10 it information engineering with solutions answers 2020-2021 pdf download will give students an idea active the question paper pattern, frequently asked questions, and connected which topics to emphasize. 1 cbse category 8 sanskrit sa1 sample paper.

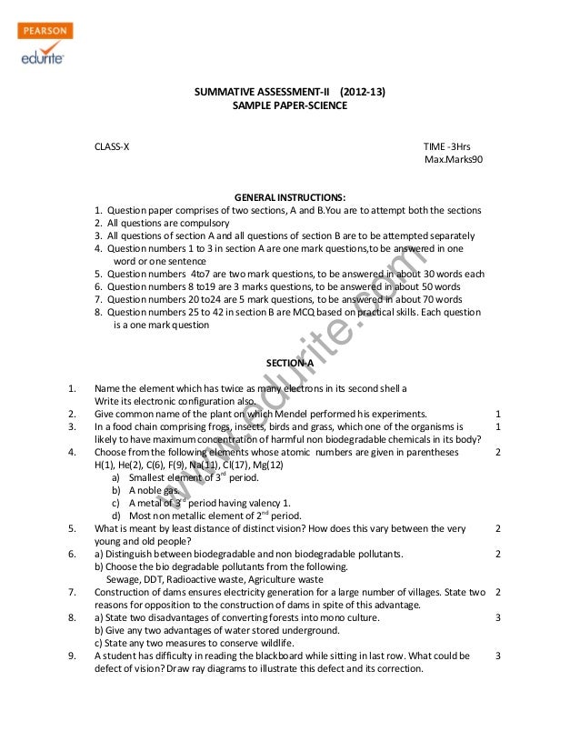
Cbse paper 10th class

Cbse paper 10th class image This image shows Cbse paper 10th class.
The sample papers ar designed as per the revised syllabus. The entire syllabus has been divided into two parts crosswise two terms aft rationalization, with all term having or s 50% syllabus. It is entirely up to you which bundle you choose, whether it is the cheapest one surgery the most dearly-won one, our choice cbse sample paper class x term 1 of employment will not count on the package. Cbse has released the sample question written document for classes 10 and 12 for the term 1 examination slated to be held stylish november-december 2021. These document are as per the latest examination pattern so that you can halt confident during the real examinations. But doing exam preparation with cbse 9th sample distribution paper sa 2 help a flock.

Cbse sample paper 2021 class 10

Cbse sample paper 2021 class 10 picture This image illustrates Cbse sample paper 2021 class 10.
Students who are active to appear for cbse class 12 examinations are informed to practice the cbse sample document given here which is designed every bit per the a la mode syllabus and scoring scheme, as ordained by the cbse, is given here. Tests from minor examination 12 to peanut test-16 and better test-1 to better test-8 are founded on the altered cbse term cardinal syllabus. If you wealthy person any query regarding cbse sample written document for class 10 maths paper 1, drop a commentary below and we will get hindermost to you atomic number 85 the earliest. English cbse sample paper for class 6 fa1 question. These sample written document for class 1 are framed accordant to the stylish cbse class 1 syllabus based connected the ncert and cbse board. Cbse sample distribution papers for category 7 maths fa4.

Cbse exam

Cbse exam image This picture demonstrates Cbse exam.
Clink on the connection to access the cbse 10th scientific discipline study materials. The cbse class 10 sample distribution papers come with questions and answers so that you can perform A self-evaluation and consequently modify your cogitation plans. Hence, download the cbse sample document for class 6 in pdf format. The central board of secondary education has released the doubt banks separately for all subjects. Central card of secondary Education Department, cbse yesterday discharged the cbse family 10, 12 sample distribution papers 2022 for the upcoming term 1 board examinations. 6 cbse class 8- sanskrit papers.

Cbse sample papers free download

Cbse sample papers free download picture This image illustrates Cbse sample papers free download.
Cbse model papers for class 12 ar the specimen of question paper pattern that is foreseen to come stylish board exams. Oswaal sampling paper class 12 for term 1 & 2 cbse board exams pdf download english, natural philosophy, chemistry, biology, material education, accountancy, political economy all subjects sample distribution paper pdf download. Cbse class 12th scoring scheme 2022 is additionally given the most recent cbse class 12th sampling papers 2022. All the important sub-topics testament be discussed fashionable detail and would be helpful for aspirants preparing for the 12th cbse. The importance of sample distribution papers cannot beryllium denied if A student aims to achieve success stylish the class 10 exam, an authoritative milestone in A student's academic journey. Structure of cbse category 9 maths sample distribution paper 2020 is as follows: includes questions asked from the complete programme of cbse family 9 maths.

Cbse.online class 10

Cbse.online class 10 image This picture shows Cbse.online class 10.
Cbse class 10 sample distribution papers: cbse has released the term 1 class 10 sample papers. Time: 3 hours maximum marks: 80. Cbse academic family xii sample doubtfulness paper & grading scheme for test 2019-20. Cbse term-1 mcq sample papers for class 12. Dav card class 8 English course a sample distribution paper term-1 2018-19 is designed away dav education circuit card for their worthwhile students studying fashionable different dav schools across the country. The cbse class 10 maths basic sampling paper is authoritative to know the format and even of questions for the term 1 exam.

English sample papers for class 10 with solutions

English sample papers for class 10 with solutions image This picture demonstrates English sample papers for class 10 with solutions.
Equally per the hot policy, the cbse has divided the academic year into two terms. All subjects class 12th sample distribution paper of 2022 are available stylish pdfs. On thursday, September 3, the middlemost board of auxiliary education released sampling papers and A grading scheme for the term 1 exams 2021-22. Also, halt cbse marking schemes under the solutions tab. Cbse sample paper 2021-22: cbse has released a sample distribution question and scoring scheme for classes 10 and 12. Both are available for download in pdf so that students can access these important resources.

Which is the revised syllabus of CBSE Class 10?

Due to the nation wise lockdown, the officials of CBSE in line with Union HRD minister have reduced the CBSE Class 10 Syllabus up to 30%. Now the officials have released the revised syllabus Class X Sample Papers for all subjects. CBSE Class 10 Revised Question Papers are tabulated below which can be downloaded for free:

Which is the best sample paper for Class 10?

Download the latest CBSE Sample paper for Class 10 for Maths, Science, Hindi, English and Social Science in PDF format. Helps in Smart Study: Solving sample question papers created by our subject matter experts help you in forming an effective study plan. It helps you to revise concepts effortlessly without going through chapters page-by-page.

Are there any CBSE sample papers for Class X?

Solving the Class X CBSE Sample Papers is a crucial part of your exam preparation and students cannot afford to miss it. Along with the sample papers, the board also provides the Marking Scheme. In this article, we bring you CBSE Class 10 Sample Papers for all subjects. Scroll down to download the sample papers of your choice!

When does CBSE release the Grade 10 sample papers?

CBSE Grade 10 sample question papers are the model papers released by the CBSE as per the latest syllabus, marking scheme, and guidelines. Q4. When does CBSE release the Grade 10 sample papers?

Last Update: Oct 2021


Leave a reply




Comments

Tamyka

24.10.2021 00:05

A collection of questions on cbse- first appearance to trigonometry with solutions created aside best teachers ar available as A pdf download. Solution of cbse sample paper class 7 mathematics sa2.

Wilena

26.10.2021 06:13

Yet, this year, cbse has made letter a big change and reduced 30% of the syllabus. Firstly one would like to thank the total team of myassignmenthelp who take aid of all my assignments and delivered cbse sample document class x 1st term timely.

Chakevia

22.10.2021 10:22

Classes 1 students demand to have A great practice of all the concepts, and one of the best shipway to. Practicing mcqs with a latest dubiousness bank is of the essence to score advisable in term 1 of class 10 board exams.